Loading...
Select Version
&pagelevel(4)&pagelevel
Definition | #include <math.h> C11 | |
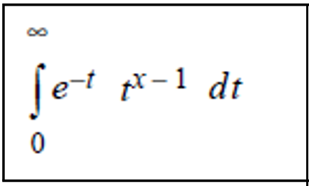
Beschreibung | Diese Funktionen berechnen die mathematische Gammafunktion für die Gleitpunktzahl x: | |
Returnwert |
| Wert der Gammafunktion bei Erfolg. |
|
| abhängig vom Funktionstyp, bei Fehler. |
Fehler |
| |
| Überlauf, das Resultat ist zu groß. | |
|
| x ist eine nichtpositive Ganzzahl. |
Siehe auch |
| |
