Definition | #include <math.h> double gamma(double x); C11 extern int signgam; | |
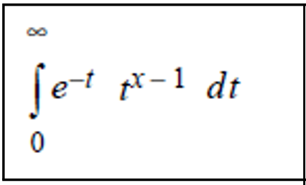
Beschreibung | Diese Funktionen berechnen den natürlichen Logarithmus des Absolutbetrags der mathematische Gammafunktion für Gleitkommazahlen x: Das Vorzeichen dieses Wertes wird in der C-internen Variablen | |
Returnwert | | bei Erfolg. |
|
| abhängig vom Funktionstyp, falls der korrekte Wert einen Überlauf ergibt. |
|
| abhängig vom Funktionstyp, falls x eine nichtpositive Ganzzahl ist. |
Fehler |
| |
| Überlauf, das Resultat ist zu groß. | |
|
| x ist eine nichtpositive Ganzzahl. |
Siehe auch |
| |
