Your Browser is not longer supported

Please use Google Chrome, Mozilla Firefox or Microsoft Edge to view the page correctly
Loading...

{{viewport.spaceProperty.prod}}

tgamma, tgammaf, tgammal - Gamma-Funktion berechnen

&pagelevel(4)&pagelevel

Definition

#include <math.h>

C11
double tgamma(double x);
float tgammaf(float x);
long double tgammal(long double x); (Ende)

Beschreibung

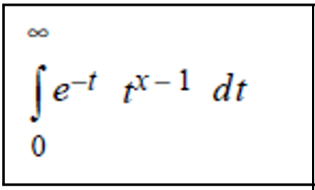
Diese Funktionen berechnen die mathematische Gammafunktion für die Gleitpunktzahl x:

Returnwert

tgamma(x)

Wert der Gammafunktion bei Erfolg.

 

HUGE_VAL
HUGE_VALF
HUGE_VALL

abhängig vom Funktionstyp, bei Fehler.
errno wird gesetzt, um den Fehler anzuzeigen.

Fehler

tgamma(), tgammaf() und tgammal() schlagen fehl, wenn gilt:


ERANGE

Überlauf, das Resultat ist zu groß.

 

EDOM

x ist eine nichtpositive Ganzzahl.

Siehe auch

lgamma(), math.h.