Loading...
Select Version
&pagelevel(4)&pagelevel
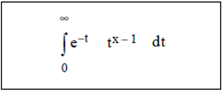
Definition | #include <math.h> double tgamma(double x); (C11) Diese Funktionen berechnen die mathematische Gammafunktion für Gleitkommazahlen x: | |
Returnwert | tgamma(x) | Wert der Gammafunktion bei Erfolg. |
|
| abhängig vom Funktionstyp, falls der korrekte Wert einen Überlauf ergibt. |
|
| abhängig vom Funktionstyp, falls x eine nicht-positive Ganzzahl ist. |
Siehe auch | lgamma | |
