Your Browser is not longer supported

Please use Google Chrome, Mozilla Firefox or Microsoft Edge to view the page correctly
Loading...

{{viewport.spaceProperty.prod}}

tgamma, tgammaf, tgammal - Gammafunktion berechnen

&pagelevel(4)&pagelevel

Definition

#include <math.h>

double tgamma(double x); (C11)
float tgammaf(float x); (C11)
long double tgammal(long double x); (C11)

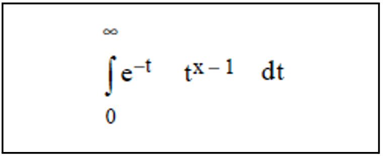
Diese Funktionen berechnen die mathematische Gammafunktion für Gleitkommazahlen x:

Returnwert

tgamma(x)

Wert der Gammafunktion bei Erfolg. 

 

HUGE_VAL
HUGE_VALF
HUGE_VALL

abhängig vom Funktionstyp, falls der korrekte Wert einen Überlauf ergibt.
Zusätzlich wird errno auf ERANGE gesetzt (Resultat zu groß).

 

HUGE_VAL
HUGE_VALF
HUGE_VALL

abhängig vom Funktionstyp, falls x eine nicht-positive Ganzzahl ist.
Zusätzlich wird errno auf EDOM gesetzt (unzulässiges Argument).

Siehe auch

lgamma