Loading...
Select Version
&pagelevel(4)&pagelevel
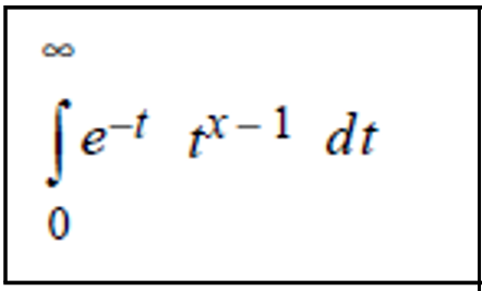
Definition | #include <math.h> double tgamma(double x); (C11) These functions compute the mathematical gamma function for a given floating-point number x: | |
Return val. |
| Value of the gamma function if successful. |
| depending on the function type, if the correct value causes an overflow. In addition errno is set to ERANGE (return value is too large). | |
| depending on the function type, if x is a non-positive integer. In addition errno is set to EDOM (invalid argument). | |
See also |
|
|
