Loading...
Select Version
&pagelevel(4)&pagelevel
Syntax | #include <math.h> C11 | |
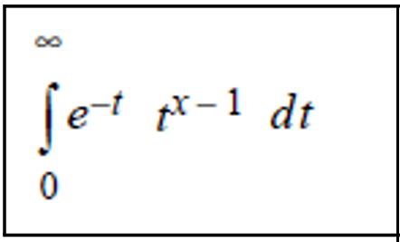
Description | These functions compute the mathematical gamma function for a given floating-point number x: | |
Return val. |
| Value of the gamma function if successful. |
| depending on the function type, if an error occurs. | |
Errors |
| |
| Overflow; the return value is too large. | |
| x is a non-positive integer. | |
See also |
|
|
