Der spezifizierte Auswertezeitraum umfasst den Zeitraum, über den die Messwertedatei ausgewertet werden soll. Ein Feld dieses Zeitrasters heißt Auswerteteilintervall. Es stellt bei der Ausgabe von Zeitreihen einen Balken dar.
Berechnung des Wertes für ein Auswerteteilintervall
Die Datensätze der Messintervalle werden zur Berechnung der Messgrößen für ein Auswerteteilintervall herangezogen.
Dabei greift SM2R1 für jede angeforderte Messgröße nur die Datensätze ab, die entsprechende Messdaten enthalten.
Aus diesen Messdaten errechnet SM2R1 den Wert für ein Auswerteteilintervall nach folgender Formel:
Dabei bedeuten:
x: Mittelwert für ein Auswerteteilintervall
xi: einzelner Messwert
gi: Wichtung
n: Anzahl der Messwerte
Je nach Bedeutung der einzelnen Messwerte wird eine Wichtung mit der Länge des Messintervalls oder einem anderen Messwert vorgenommen. Beispielsweise werden die Messwerte für die Dauer pro Ein-/Ausgabe mit der Anzahl der Ein-/Ausgaben gewichtet.
Dieser errechnete Wert wird auch als Messwert für ein Auswerteteilintervall im Balkendiagramm angetragen.
SM2R1 erfasst die Daten der Messintervalle, deren Zeitstempel-Datensatz in das jeweilige Auswerteteilintervall fällt.
Berechnung der statistischen Kenngrößen
Für jede Messgröße kann SM2R1 an Stelle der Balkendiagramme eine Tabelle statistischer Kenngrößen ausgeben. Diese Kenngrößen beziehen sich auf den gesamten Auswertezeitraum. Werden sie zusätzlich zu den Balkendiagrammen ausgegeben, beziehen sie sich auf eine Diagrammseite.
Zur Berechnung werden die – schon vorab errechneten – entsprechenden Werte der Auswerteteilintervalle herangezogen.
Mittelwert (Average)
Der Mittelwert des Auswertezeitraums wird analog den Werten für die Auswerteteilintervalle berechnet.
Minimum
Minimum der Mittelwerte der einzelnen Auswerteteilintervalle:
min (x)
Dabei bedeutet: x Mittelwert eines einzelnen Auswerteteilintervalls (siehe oben)
Maximum
Maximum der Mittelwerte der einzelnen Auswerteteilintervalle:
max (x)
Dabei bedeutet: x Mittelwert eines einzelnen Auswerteteilintervalls
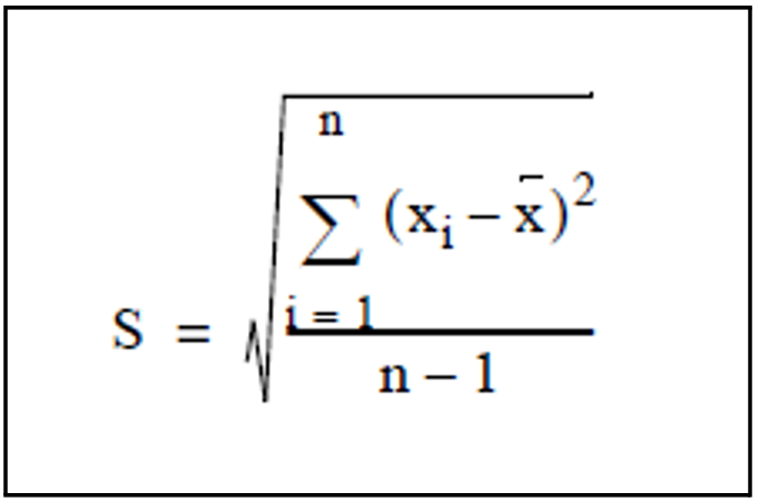
Standardabweichung (Deviation)
Dabei bedeuten:
x: Mittelwert des Auswertezeitraums
xi: Wert eines Auswerteteilintervalls
n: Anzahl der Auswerteteilintervalle

