Nach der Programmlademeldung fordert SM2 die Eingabe von Anweisungen an.
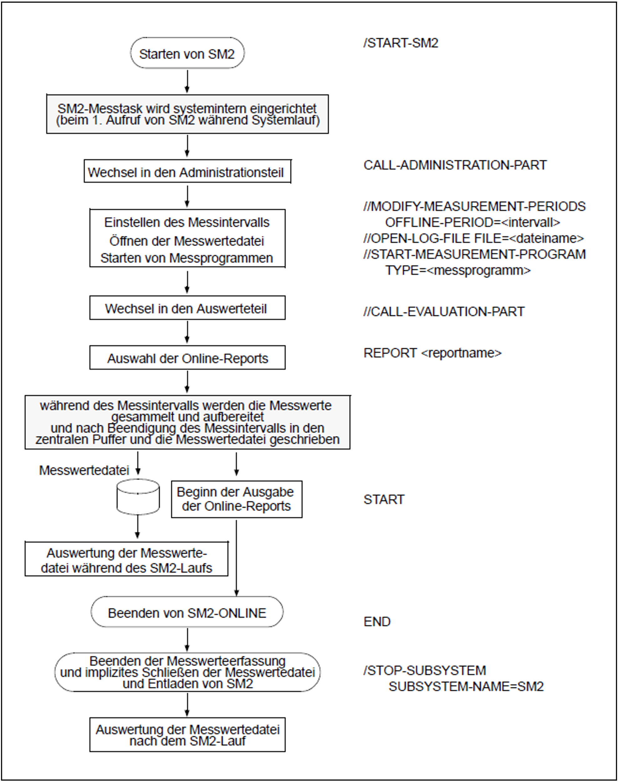
Jeder Aufrufer (privilegierter oder nichtprivilegierter Benutzer, siehe Abschnitt „Benutzer") befindet sich zunächst im Auswerteteil von SM2. Der Benutzer hat hier folgende Möglichkeiten:
Messdaten für die Bildschirmausgabe auswählen
Bildschirmausgabe steuern
Information über die Messung ausgeben.
Dem privilegierten Benutzer (SM2-Aufruf mit dem Systemprivileg SW-MONITOR-ADMINISTRATION) steht darüber hinaus die Möglichkeit offen, mit der Anweisung CALL-ADMINISTRATION-PART in den Administrationsteil zu wechseln. Hier kann der SM2-Verwalter folgende Administrationsmaßnahmen vornehmen:
Messparameter definieren
Optionale Messungen ein- und ausschalten
Messwertedatei einrichten
Privilegien für nichtprivilegierte Benutzer vergeben
Information über die Messung ausgeben
Rechner für SM2-Anweisungen und Reports festlegen (gilt nur für den privilegierten Benutzer selbst).
Um die Anweisungen zur Steuerung der Echtzeitüberwachung absetzen zu können, muss der privilegierte Benutzer in den Auswerteteil wechseln (per Anweisung CALL-EVALUATION-PART). Mit dem Wechsel legt der privilegierte Benutzer seinen Status als SM2-Verwalter ab.
typischer Ablauf
