Openness is one of the core principles of openUTM. It is reflected in numerous properties and functions, the most important of which are described below.
Cross-platform availability
These days, multivendor configurations are becoming the norm. openUTM is available
for Linux distributions such as SUSE or Red HAT for example,
for all conventional Windows platforms,
- for the conventional Unix platforms on request - such as Solaris, HP-UX or AIX,
for BS2000 systems, for Business Server with /390 or x86 architecture.
Even the front-end openUTM-Client component is available for these platforms.
On other client platforms, such as MAC OS, client programs can communicate directly with UTM applications via a transport interface.
Figure 6: openUTM - available on a wide range of platforms
Due to the high portability of openUTM, the product can also be supplied for other Unix platforms (on request).
Because openUTM runs both on mainframes with the BS2000 operating system and on Unix, Linux and Windows systems, existing mainframe applications can be linked easily with new applications on Unix and Linux systems or Windows systems. Small departmental servers can thus be integrated quickly and flexibly in a system of existing mainframe applications, for example.
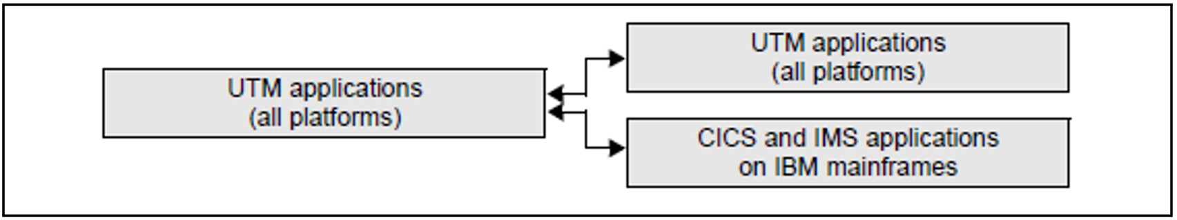
Integration into IBM mainframe environments
openUTM supports the LU6.1 and LU6.2 communication protocols. UTM applications can therefore interact with CICS-IMS/TM or IMS/DC applications while using transaction management. See section “Communication with CICS, IMS and TXSeries applications” for more information.
APPC/CPI-C applications in IBM environments can also be connected to UTM applications. CICS applications (without transaction management) can also be linked directly via TCP/IP.
openUTM is thus ideal for all downsizing, rightsizing or connectivity projects in IBM mainframe environments - both from a technical and an economic point of view.
Connecting to other transaction monitors via OSI TP and LU6.2
Based on the standardized, open communication protocol OSI TP, it is possible to interact directly with all transaction monitors that support OSI TP. Thus, for example, openUTM supports direct, transaction-oriented interaction with Tuxedo applications or with applications in UNISYS environments.
Connecting terminals
In addition to offering interfaces for connecting client programs, openUTM also allows terminals to be connected. These include, for example:
older devices, such as alphanumeric terminals
programs that emulate such terminals (e.g. 9750 emulations)
network terminals controlled by PC software that does not permit all the functions of a PC to be used
These terminals can be used in line mode. On BS2000 systems you can use screen formats (masks) when openUTM is operating together with formatting systems such as FHS. By means of products such as WebTransactions, screen forms can be converted dynamically into graphical user interfaces and thus integrated into Microsoft Office environments or Web applications, for example.
openUTM provides special user commands for direct communication with terminal users.
The user commands are described in the openUTM manual “Using UTM Applications”. Information on how to use the terminal interface for your service routines can be found in the openUTM manual “Programming Applications with KDCS for COBOL, C, and C++”. Formatting tools are described briefly in the present manual, see section “Formatting” for BS2000 systems. |
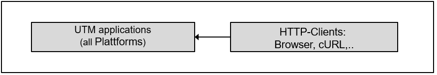
Integration in the World Wide Web
A UTM application can act as an HTTP server and communicate with HTTP clients. This allows a UTM application to offer its services to the outside world and any HTTP clients, such as browsers or e.g. cURL clients, can access these services.
| An overview on the HTTP functionality of openUTM can be found in chapter "Communicating with HTTP Clients" |
openUTM can as well be integrated into the World Wide Web using the "WebServices for openUTM" product, the WebTransactions product or the openUTM-JConnect product delivered with the BeanConnect product. UTM applications can then be reached world-wide from millions of computers using Web browsers such as Firefox or Internet Explorer through a uniform and modern graphical interface.
You will find additional details on section “Addressing openUTM via Webservices” and section “Java clients”.
Interaction with any applications
Almost any conceivable type of device can be connected as clients to openUTM: sensors, control systems or industrial automatons, for example. The only requirement is that they provide an interface at the level of the transport system. In particular, applications can be connected to openUTM via the widely used socket interface. For socket interfaces openUTM supports the protocol HTTP as well as the openUTM-specific socket protocol (USP).
As a result, UTM services can be requested by all kinds of devices: via the transport interface, the client device simply passes the appropriate service name together with any data that may be needed openUTM (see also section “Communicating with transportsystem applications”).
Support for the most varied communication and network protocols
openUTM’s support for the most varied communication and network protocols forms the basis for the integration of heterogeneous environments.
openUTM supports different network protocols, e.g. TCP/IP via RFC1006 or TCP/IP native via the socket interface. and in WANs (wide area networks, e.g. X.25). Users and programmers need not concern themselves with the different networking technologies; your UTM applications will run in any environment.
openUTM not only supports a wide range of network protocols, but also various high-level communication protocols. These protocols govern types of interaction that go well beyond the mere exchange of data. For example, they ensure that applications from different manufacturers can interact with each other on the basis of global transaction management.
The table on the next page provides an overview of the high-level communication protocols supported and the connection options offered by these protocols.
Overview: High-level communication protocols and connection options
LU6.1 (Logical Unit 6.1)
The LU6.1 protocol is an SNA protocol defined by IBM. Following ongoing development, it has now become an industry standard. Communication takes place on the basis of global transaction management. LU6.1 is particularly suitable for the following connection options:
OSI TP (Open Systems Interconnection Transaction Processing)
International standard for Distributed Transaction Processing defined by ISO. It is possible to define whether or not communication is to take place on the basis of global transaction management.
OSI TP is particularly suitable for the following connection options:
LU6.2 (Logical Unit 6.2)
A protocol defined by IBM. This protocol is supported by openUTM via openUTM-LU62. openUTM-LU62 is an OSI TP partner from openUTM’s point of view. In this manner, you can work with and without global transaction management.
openUTM-LU62 is suitable for the following connection options:
UPIC (Universal Programming Interface for Communication)
UTM interface and protocol for connecting front-end Clients
HTTP (Hypertext Transfer Protocol)
The Hypertext Transfer Protocol is a stateless protocol for transferring data on the application layer over a computer network. An openUTM application is able to communicate with HTTP clients. Communication can take place via HTTP or HTTPS connections. A more detailed explanation of these terms can be found, for example, in Wikipedia.



