Your Browser is not longer supported

Please use Google Chrome, Mozilla Firefox or Microsoft Edge to view the page correctly
Loading...

{{viewport.spaceProperty.prod}}

lgamma, lgammaf, lgammal, gamma, signgam - Logarithmus der Gamma-Funktion berechnen

&pagelevel(4)&pagelevel

Definition

#include <math.h>

double gamma(double x);
double lgamma(double x);

C11
float lgammaf(float x);
long double lgammal(long double x); (Ende)

extern int signgam;

Beschreibung

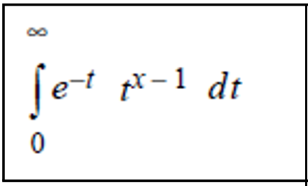
Diese Funktionen berechnen den natürlichen Logarithmus des Absolutbetrags der mathematische Gammafunktion für Gleitkommazahlen x:

Das Vorzeichen dieses Wertes wird in der C-internen Variablen signgam als +1 oder -1 abgelegt. signgam darf nicht vom Anwender definiert werden.

Returnwert

log(|tgamma(x)|)

bei Erfolg.

 

HUGE_VAL
HUGE_VALF
HUGE_VALL

abhängig vom Funktionstyp, falls der korrekte Wert einen Überlauf ergibt.
errno wird gesetzt, um den Fehler anzuzeigen.

 

HUGE_VAL
HUGE_VALF
HUGE_VALL

abhängig vom Funktionstyp, falls x eine nichtpositive Ganzzahl ist.
errno wird gesetzt, um den Fehler anzuzeigen.

Fehler

gamma(), lgamma(), lgammaf() und lgammal() schlagen fehl, wenn gilt:


ERANGE

Überlauf, das Resultat ist zu groß.

 

EDOM

x ist eine nichtpositive Ganzzahl.

Siehe auch

fabs(), tgamma(), math.h.