Your Browser is not longer supported

Please use Google Chrome, Mozilla Firefox or Microsoft Edge to view the page correctly
Loading...

{{viewport.spaceProperty.prod}}

lgamma, lgammaf, lgammal, gamma, signgam - Logarithmus der Gammafunktion berechnen

&pagelevel(4)&pagelevel

Definition

#include <math.h>

double gamma(double x);
double lgamma(double x);
float lgammaf(float x); (C11)
long double lgammal(long double x); (C11)

extern int signgam;

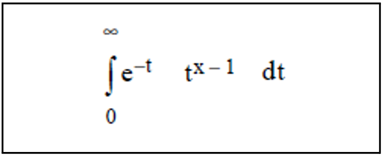
Diese Funktionen berechnen den natürlichen Logarithmus des Absolutbetrags der mathematische Gammafunktion für Gleitkommazahlen x:

Das Vorzeichen dieses Wertes wird in der C-internen Variablen signgam als +1 oder -1 abgelegt. signgam darf nicht vom Anwender definiert werden.

Returnwert

log(|tgamma(x)|)

bei Erfolg. 

 

HUGE_VAL
HUGE_VALF
HUGE_VALL

abhängig vom Funktionstyp, falls der korrekte Wert einen Überlauf ergibt.
Zusätzlich wird errno auf ERANGE gesetzt (Resultat zu groß).

 

HUGE_VAL
HUGE_VALF
HUGE_VALL

abhängig vom Funktionstyp, falls x eine nicht-positive Ganzzahl ist.
Zusätzlich wird errno auf EDOM gesetzt (unzulässiges Argument).

Siehe auch

fabs, tgamma