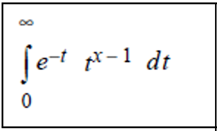
Definition | #include <math.h> double gamma(double x); extern int signgam; These functions compute the natural logarithm of the absolute value of the mathematical gamma function for a given floating-point number x: The sign of this value is stored as +1 or -1 in the internal C variable | |
Return val. |
| if successful. |
| depending on the function type, if the correct value results in an overflow. In addition, | |
| depending on the function type, if x is a non-positive integer. | |
See also |
| |
